| (n, x, ·, r) | c' | (n, c', ·, 10.r+c') | si x et c' sont des chiffres |
| (n, x, ·, s) | c' | (n, c', ·, c') | si c' est un chiffre, mais pas x |
| (n, x, ·, s) | o' | (n· r, o', o', n· r) | si o' est un opérateur |
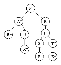
type noeud_lex = Lettre of char * bool * arbre_lex and arbre_lex = noeud_lex list;; type mot = string;;La valeur booléenne du noeud_lex marque la fin d'un mot lorsqu'elle vaut true. Dans une telle structure, la suite de mots << fa, far, faux, frise, frit, frite >> est stockée de la façon suivante :

This document was translated from LATEX by HEVEA.